栏目
 
新闻 > 新产品

阅读:4896 ,发布于2016/7/21 10:21

 

新产品发布:

1、N-芴甲氧羰基-N',N''-二乙基-L-高精氨酸 盐酸盐(Fmoc-L-HomoArg(Et)2-OH.HCl)

2、N-芴甲氧羰基-N',N''-二乙基-D-高精氨酸 盐酸盐(Fmoc-D-HomoArg(Et)2-OH.HCl)

Ac-D-2-Nal-D-4-Cpa-D-3-Pal-Ser-Tyr-D-HomoArg(Et)2-Leu-HomoArg(Et)2-Pro-D-Ala-NH2

加尼瑞克核心原料,提供大量库存、提供高质量产品保证

Fmoc-HomoArg(Et)2-OH.HCl的详细描述:

• 含量:95%

• 主要用途:加尼瑞克核心原料

• 产品规格:25g、100g、500g、1kg

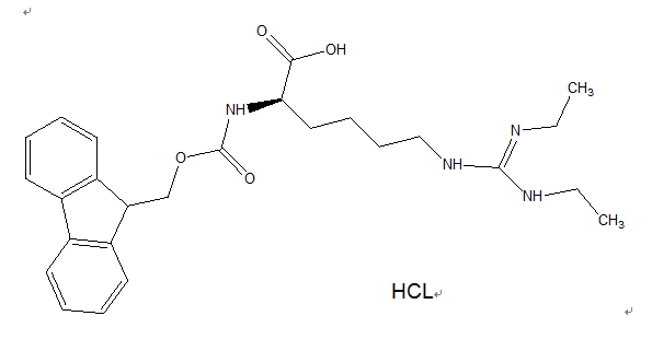
Product Name(产品名称)

Fmoc-HomoArg(Et)2-OH.HCl(symmetrical)

Catalog #

F00141

Molecular Formula(分子式)

C26H34N4O4.HCl

Molecular Weight(分子量)

502.5

Storage Temp.(保存温度)

Cool dry place

Structure(结构式)

Fmoc-D-HomoArg(Et)2-OH.HCl的详细描述:

• 含量:95%

• 主要用途:加尼瑞克核心原料

• 产品规格:25g、100g、500g、1kg

Product Name(产品名称)

Fmoc-D-HomoArg(Et)2-OH.HCl(symmetrical)

Catalog #

F20141

Molecular Formula(分子式)

C26H34N4O4.HCl

Molecular Weight(分子量)

502.5

Storage Temp.(保存温度)

Cool dry place

Structure(结构式)

 
首页 | 关于我们 | 站点地图 | 招聘 | 联系我们
©CSBio China 2021 有任何问题可以参考总部网站:www.csbio.com      沪公网安备 31011502005552号      沪ICP备13005633号-1