|
阅读:727 ,发布于2026/1/29 16:05
·GLP-1药物肽的起源
20世纪60年代,科学家发现了人GLP-1受体激动剂。GLP-1是一种由小肠黏膜L细胞分泌的肠肽类激素,它能作用于大脑特定区域的受体,有效抑制食欲中枢,增强饱腹感,减少食物摄入。GLP-1通过多重机制调控葡萄糖代谢,达到调控人体血糖和减重的作用。

图1 GLP-1对靶组织的生物作用
(图片来源: Frontiers in Endocrinology)
GLP-1从最初作为一个血糖调节因子为人所熟知,到如今,在糖尿病、心血管疾病、阿兹海默及抑郁症、肾病和肝脏疾病、关节炎等领域都有所作为。
·利拉鲁肽
由于人GLP-1血浆半衰期太短(不足2 min),科学家便开始研发更长效的GLP-1的类似物。21世纪初,丹麦诺和诺德公司成功研发了一款具有与GLP-1有97%同源性的多肽药物——利拉鲁肽(Liraglutide),在2009年7月和2010年1月分别于欧盟和美国获准上市,并在2011年于中国上市。
图2 利拉鲁肽结构式
天然GLP-1(7-36酰胺)的N端序列(His-Ala-Glu-Gly-Thr-Phe-Thr-Ser-Asp-Val-Ser-Ser-Tyr-Leu-Glu...)中存在一个关键的酶切位点:Ala-Glu,该位点恰好符合DPP-4酶对X-Ala/X-Pro序列的特异性识别模式。DPP-4会精准地在Ala和Glu之间进行水解切割,移除包含前8个氨基酸的N端片段(His-Ala-Glu-Gly-Thr-Phe-Thr-Ser),从而将具有完整生物活性的GLP-1(7-36)转化为几乎丧失受体结合能力的GLP-1(9-36)片段。这一高效降解过程使得天然GLP-1在血浆中的半衰期极短。更值得注意的是,DPP-4在血管内皮细胞、淋巴细胞等多个组织中的广泛分布,进一步加速了GLP-1的全身性清除,这正是天然GLP-1难以直接应用于临床治疗的关键限制因素。
图3 DPP-4在GLP-1的切割位点
(图片来源: Frontiers in
Endocrinology)
利拉鲁肽的分子设计实现了两项关键突破:首先,通过在GLP-1分子结构上引入16碳脂肪酸侧链(棕榈酸),使其能够与血清白蛋白可逆性结合,有效规避了DPP-4酶的降解作用;其次,将第34位赖氨酸替换为精氨酸的氨基酸修饰,进一步增强了分子的结构稳定性。这两项创新性修饰策略的协同应用,使得利拉鲁肽的血浆半衰期显著延长至约13小时,完美实现了每日一次皮下注射的临床给药需求,极大提升了患者的用药依从性。
利拉鲁肽通过多系统协同作用发挥其独特的治疗效应:1在胰腺组织中,它选择性激活β细胞GLP-1受体,经cAMP-PKA/Epac2信号通路促进葡萄糖依赖性胰岛素分泌,同时通过旁分泌和直接作用双重机制抑制α细胞胰高血糖素释放,并通过上调Bcl-2表达实现β细胞保护与再生;2在中枢神经系统,其通过激活下丘脑弓状核POMC神经元、抑制AgRP/NPY神经元,协同增强延髓孤束核饱食信号,并调节多巴胺奖赏系统降低对高热量食物的渴求;3在胃肠道方面,通过迷走神经依赖与非依赖机制延缓胃排空,并调控胃泌素和生长抑素分泌;4心血管保护作用表现为改善内皮功能(增加NO生物利用度)、抑制动脉粥样硬化进程(减少血管平滑肌增殖和巨噬细胞浸润)及减轻心肌缺血再灌注损伤;5代谢调节方面则通过UCP1依赖途径促进白色脂肪棕色化,增强肝脏胰岛素敏感性抑制肝糖输出,并显著改善脂质代谢(降低甘油三酯和游离脂肪酸水平)。这种多靶点、多层次的综合作用机制使其兼具卓越的降糖、减重和器官保护功效。
·司美格鲁肽
基于利拉鲁肽的成功经验,诺和诺德启动新一代GLP-1类似物研发计划——司美格鲁肽(Semaglutide)。
司美格鲁肽结构与天然的GLP-1相似,具有高达94%的氨基酸序列同源性,是GLP-1受体激动剂多肽,针对2型糖尿病和肥胖症。司美格鲁肽在血液中的半衰期约为7 天。它可以通过每周一次皮下注射或每天一次口服给药。尽管几个GLP-1受体激动剂都可以实现每周一次注射,但是半衰期显著不同,艾塞那肽通过微球蛋白技术延长作用时间,半衰期2.4 h,洛塞那肽通过连接聚乙二醇长链延长半衰期为4 d,度拉糖肽通过连接大分子免疫球蛋白延长半衰期为4.7 d,司美格鲁肽通过连接脂肪二酸侧链和氨基酸替换半衰期逐渐延长为7 d,比度拉糖肽和洛塞那肽都要更长,也实现每周一次注射的频率,大大减少了注射次数,提高患者依从性(表1)[2]。皮下注射之后,司美格鲁肽经过吸收、分布、代谢和排泄,这里需要注意的是,司美格鲁肽代谢方式类似大分子蛋白,没有特定的代谢器官,而是在组织中广泛代谢,因此用药不受肝肾功能影响。
表1
GLP-1RA药物长效策略
(表格来源:中国处方药)
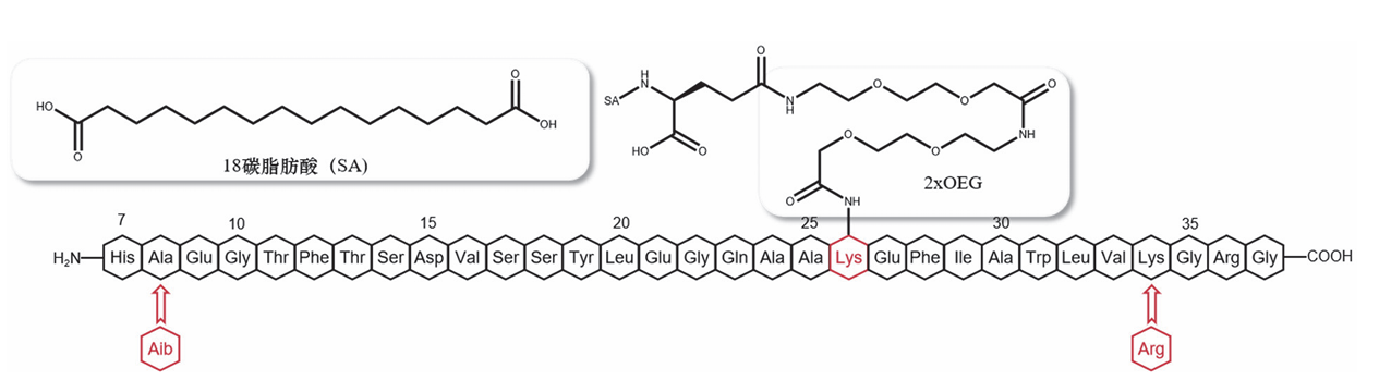
司美格鲁肽由17种共31个氨基酸组成,这17种氨基酸分别是组氨酸、α-氨基异丁酸、谷氨酸、甘氨酸、苏氨酸、苯丙氨酸、丝氨酸、天冬氨酸、缬氨酸、酪氨酸、亮氨酸、谷氨酰胺、丙氨酸、赖氨酸、异亮氨酸、色氨酸、精氨酸。司美格鲁肽的赖氨酸上含有一个C18脂肪二酸的修饰结构,该修饰结构与赖氨酸之间还存在一个由谷氨酸和2-(2-(2-氨基乙氧基)乙氧基)乙酸二聚物组成的间臂修饰。合成司美格鲁肽时,一般对多肽主链和含C18脂肪二酸的侧链分别合成,而后进行拼接,整个分子由多个片段组合而成。
相较于GLP-1来说,其有3个重要的结构修饰:第8位的丙氨酸以α-氨基丁酸(aminobutyric acid,Aib)取代;第34位的赖氨酸以精氨酸(arginine,Arg)取代;第26位的赖氨酸被带有18碳脂肪酸(stearic acid,SA)的连接官能团酰化。
图4 司美格鲁肽结构简式
修饰后第34位的精氨酸上的侧链胍基、α-碳上的羰基和第27位的谷氨酸(glutamic acid,Glu)上的侧链羧基通过与水分子的非共价作用实现第26位赖氨酸(lysine,Lys)的特异性酰化,为后面的化学修饰提供了坚实的基础;为了躲过代谢系统的识别,它需要紧紧依附在血浆白蛋白这个重要的体内“运输船”上。通过脂肪酸侧链的添加、γ-Glu的酸性基团以及亲脂性2xOEG基团的加入,可以与血浆白蛋白更加紧密地结合,从而减少肾小球的滤过率。并且通过氨基酸序列改造,把DPP-4的剪切位点“隐藏”掉,即把第8位的丙氨酸以α-氨基丁酸取代,这样DPP-4就识别不出来了,对司美格鲁肽的降解性能也大大下降。此外还形成了大量的氢键和疏水相互作用来增加自身结构稳定性以及与靶点的结合能力。通过这些巧妙的改造,半衰期可以长达7天左右。
图5
(A) 与GLP-1受体胞外结构域(金色表面)复合的司美格鲁肽肽骨架(灰色)的晶体结构; (B,C) 放大整体结构
(图片来源:Front
Endocrinol)
·替尔泊肽
继利拉鲁肽和司美格鲁肽之后,GLP-1受体激动剂领域迎来了新的突破——替尔泊肽(Tirzepatide)。替尔泊肽由美国礼来公司研发,是一种葡萄糖依赖性胰岛素多肽(GIP)受体与GLP-1受体的双重激动剂。该药物于2022年先后获得美国FDA和欧盟批准,用于治疗2型糖尿病,并在多项临床试验中显示出显著的降糖与减重效果。
替尔泊肽是一种经过工程化修饰的39氨基酸肽,其结构基于GIP序列,并通过脂肪酸侧链(C20脂肪酸)实现长效化。与单纯GLP-1受体激动剂不同,替尔泊肽可同时激活GIP和GLP-1两类受体,发挥协同作用:GIP受体激动:增强胰岛素分泌、改善胰岛素敏感性,并可能促进脂质代谢;GLP-1受体激动:抑制食欲、延缓胃排空、促进胰岛素分泌。
图6
(A) 替尔泊肽治疗2型糖尿病的关键里程碑
(图片来源:Springer
Nature)
这种双重激动机制使其在降糖和减重方面表现出超越单一GLP-1受体激动剂的疗效。替尔泊肽的半衰期约为5天,支持每周一次皮下注射。
在多项Ⅲ期临床试验(如SURPASS系列)中,替尔泊肽在降低糖化血红蛋白(HbA1c)和减轻体重方面均显著优于司美格鲁肽、胰岛素等对照药物。部分患者在使用替尔泊肽后体重下降幅度可超过20%,使其成为目前减重效果最强的药物之一。
替尔泊肽目前为注射剂型,常见不良反应与其他GLP-1类药物相似,以胃肠道反应(恶心、腹泻、呕吐等)为主,多数为轻度至中度,随治疗时间延长可逐渐减轻。由于其双重受体激动机制,长期安全性仍需更多真实世界数据支持。
替尔泊肽代表了GLP-1/GIP双靶点药物的新一代发展方向,其在降糖与减重方面的卓越表现,为2型糖尿病和肥胖患者提供了新的治疗选择。未来,随着口服制剂的研发及适应症的拓展,替尔泊肽有望在代谢疾病治疗中扮演更重要的角色。
·从注射到口服的蜕变
从司美格鲁肽在得到药物王国的广泛认可后,制药行业仍然未放弃GLP-1类药物肽自我完善。随后还推出了对病人给药更加友好的口服制剂。作为肽类,分子量大,有亲水性,渗透性低,很难通过胃肠道黏膜被人体吸收;且人体胃中含有较多胃酸及胃蛋白酶,在胃中易被降解,失去药理活性。 而它能够做到口服不受到胃酸和胃酶的降解,同时穿过小肠上皮细胞被吸收进人体离不开另一个重要伙伴的支持,它就是8-(2-羟基苯甲酰胺基)辛酸钠(salcaprozate sodium,SNAC)。口服片剂正是由14 mg的司美格鲁肽与300 mg的SNAC共同配制而成。
图7 SNAC结构式
SNAC是具有两亲性的水杨酸的N-乙酰化氨基酸衍生物。口服片剂的具体给药过程也可以大致分为三步:“胃酸侵蚀”“药物释放”与“药物吸收”。每一步SNAC都发挥了重要的作用。 首先是药片在胃中迅速侵蚀,作为肽类很怕胃分泌的蛋白酶降解,于是SNAC通过高浓度的释放帮助中和药片附近胃液的pH,降低胃蛋白酶的活性,可分子间作用力让很多个肽聚在了一起;之后 SNAC通过改变片剂溶解的溶液极性来削弱疏水相互作用,从而促进单体化,以便于更好地吸收;最后, SNAC还会被结合到脂质膜中增加胃上皮膜的流动性,从而允许经细胞通道进入体循环,进而发挥药效。
图8
SNAC助力司美格鲁肽口服给药吸收过程
(图片来源:Journal
of Medicinal Chemistry)
除此之外,司美格鲁肽在减肥领域的作用更加显著,其在临床实践中被发现了有减缓胃排空、增加饱腹感、降低食欲,达到减轻体重的作用,而且还对身体的负担小,于是减肥适应症的Wegovy在2021年6月被美国 FDA批准,每周1次皮下注射2.4 mg用于减重。不过减肥药的服用可是有前提条件的,根据FDA用于肥胖药物的标准, BMI > 30或者在27–30伴随相关肥胖疾病才可以使用。另外,就算是正常用药,其副作用也不能忽视,Wegovy在临床试验过程中的胃肠道不良事件报告率竟然高达84.1%!其常见不良反应包括恶心、腹泻、呕吐等。更不用说有些人为了更快达到减肥目的,不顾医嘱私自加大剂量,不仅更容易出现不良胃肠道反应,甚至有导致甲状腺C细胞肿瘤以及男性罹患勃起功能 障碍和睾酮缺乏的风险。“是药三分毒”,大家一定不能盲目吃药减肥,不然受伤的还是自己的身体。身材与容貌只是个人的一小部分,在健康面前可以说是不值一提。相较于服药, 健康饮食、勤于锻炼才是减肥降糖的正确途径呀!
CSBio是一家成立30年的生物科技公司,一直致力于向全球客户提供全方位的多肽产品和服务:
1)多肽CRDMO服务-GMP和研发多肽生产,有USFDA认证API多肽生产资质
2)多肽研发和生产设备-从研发到生产型合成仪,裂解仪,纯化制备,装柱机,冻干机以及多肽实验室和生产车间技术支持
3)多肽关键原料- 保护标准和高质量氨基酸和多肽试剂,有相关验证数据,稳定性数据和DMF技术文件支持
4)DNA/RNA寡核苷酸合成仪-可用于研发、工艺开发和生产
5)DNA/RNA合成单体和配套试剂-以高性价比的产品为客户提供整体解决方案
6)美容产品原料——安全化、科学化、高功效美容产品研发与生产
7)GLP-1多肽及相关中间体
8)Peptide
Institute中国唯一代理
CSBio has brought together more than 30 years’ experience serving the life science community, the only professional
company who has Total Peptide oligo Solution for every peptide users which
cover eight main categories of products and services:
1)Peptide CRDMO service -GMP and R&D peptide production, with API
peptide production approved by USFDA
2)Peptide Instrumentation - from R&D up to Large Scale
Manufacturing-type synthesizer, Cleavage systems, PreHPLC system, Freeze-Drying
Machine,Column
packing equipment and peptide production technical support
3)Peptide key raw material - High Quality Standard Grade and High Grade
Fmoc-protected Amino Acid, peptide reagents, coupling reagents, resins and
special reagents, supported by relevant validated QC data, stability data and
DMF technical documents.
4)DNA/RNA oligonucleotide synthesizers that can be used from research、process development and production
5)Reagent for DNA/RNA Synthesizer-To provide cost-effective products to
provide customers with the overall solution
6)Raw materials for cosmetic
products - R&D and production of safe, scientific and high-efficacy
cosmetic products
7)GLP-1 peptide and its related intermediates
8)CSBio is the sole agent of Peptide Institute in China
CSBIO的设备-研发至放大
CSBIO'S SYNTHESIZER-SEAMLESSSCALE-UP
多肽和核酸试剂
PEPTIDE & DNARNA REAGENTS
希施生物提供完整系列多肽和核酸试剂,可用于GMP级别和非GMP多肽生产!
希施生物多肽试剂按US FDA GMP的要求进行验证!保证质量!
●各类氨基酸和相关衍生物
●氨基醇
●链接剂
●N端保护剂
●多肽缩合剂&多肽试剂
●特殊氨基酸
●伪二肽
●多肽树脂
●PET多肽试剂
●核酸试剂
Complete range of peptide and DNA/RNA reagents used in the production of
non-GMP and GMP peptides!
Our Peptide Reagents are validated as per USFDA GMP Guidelines! Quality
Guaranteed!
●Amino Acids and Derivatives
●Amino Alcohols
●Linkers for Peptide Synthesis
●N-Protecting Reagents
●Peptide Coupling Reagents& Peptide Reagents
●Special Amino Acids
●Pseudoproline Building Blocks
●Peptide Resins
●PET Peptide Reagents
●DNA/RNA Reagents
|